
中国传媒大学
近三年的录取分数统计、排名情况
北京

安徽
福建
甘肃

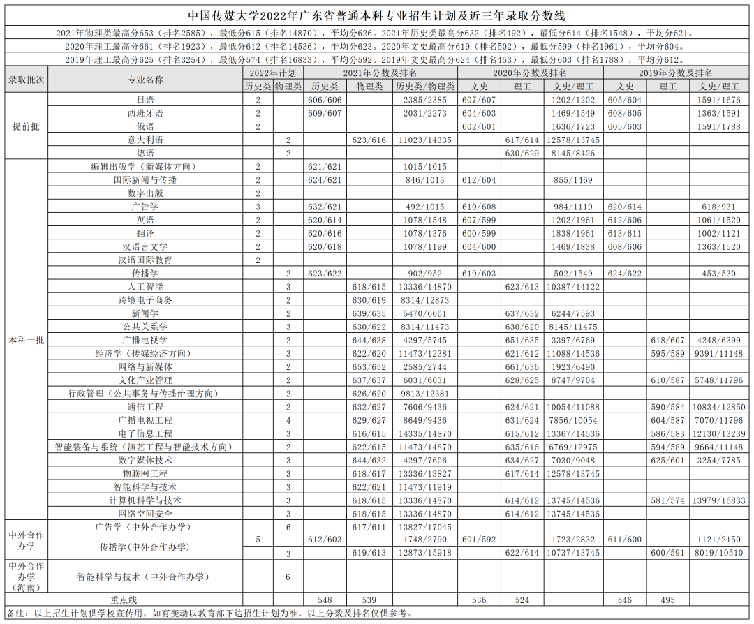
广东

广西
贵州
海南
河北

河南
黑龙江
湖北
湖南

吉林

江苏
江西
辽宁
内蒙古

宁夏

青海

山东
山西
陕西
上海

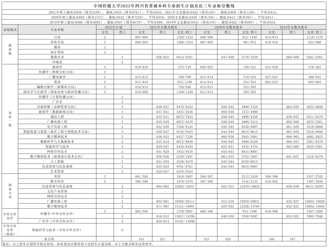
四川

天津
西藏
新疆
云南
浙江

重庆


来 源|中国传媒大学官方微信平台
编 辑|郑慧娟
责 编|杨 潜 李睿洁
编 审|韦健宇


中国传媒大学
近三年的录取分数统计、排名情况
北京

安徽
福建
甘肃

广东

广西
贵州
海南
河北

河南
黑龙江
湖北
湖南

吉林

江苏
江西
辽宁
内蒙古

宁夏

青海

山东
山西
陕西
上海

四川

天津
西藏
新疆
云南
浙江

重庆


来 源|中国传媒大学官方微信平台
编 辑|郑慧娟
责 编|杨 潜 李睿洁
编 审|韦健宇
